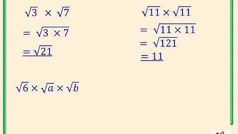
Surds 5 • Skill #3: Multiplying Surds • GCSE Maths (Higher) 🧮

Tonton & Download Video Musik Gratis

⬇ DOWNLOAD NOW
Kalau muncul iklan pop-up, tutup lalu klik tombol kembali

Download lagu Surds 5 • Skill #3: Multiplying Surds • GCSE Maths (Higher) 🧮 secara gratis hanya untuk keperluan promosi. Dukung artis favorit kamu dengan membeli musik original di iTunes atau platform resmi lainnya.