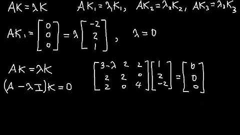
Linear Algebra: LI of eigenvectors, Jordan form of matrix, 4-6-18

Tonton & Download Video Musik Gratis

⬇ DOWNLOAD NOW
Kalau muncul iklan pop-up, tutup lalu klik tombol kembali

Download lagu Linear Algebra: LI of eigenvectors, Jordan form of matrix, 4-6-18 secara gratis hanya untuk keperluan promosi. Dukung artis favorit kamu dengan membeli musik original di iTunes atau platform resmi lainnya.