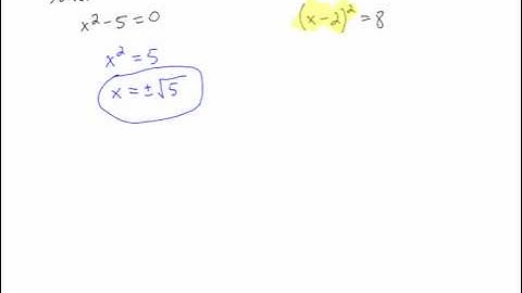
College Algebra - Section 3.2 - Video 2 - Solving Quadratics with Zero Property

Tonton & Download Video Musik Gratis

⬇ DOWNLOAD NOW
Kalau muncul iklan pop-up, tutup lalu klik tombol kembali

Download lagu College Algebra - Section 3.2 - Video 2 - Solving Quadratics with Zero Property secara gratis hanya untuk keperluan promosi. Dukung artis favorit kamu dengan membeli musik original di iTunes atau platform resmi lainnya.