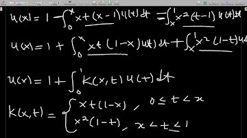
Integral Equation | Conversion of Fredholm Integral Equation into Boundary Value Problem by GP Sir

Tonton & Download Video Musik Gratis

⬇ DOWNLOAD NOW
Kalau muncul iklan pop-up, tutup lalu klik tombol kembali

Download lagu Integral Equation | Conversion of Fredholm Integral Equation into Boundary Value Problem by GP Sir secara gratis hanya untuk keperluan promosi. Dukung artis favorit kamu dengan membeli musik original di iTunes atau platform resmi lainnya.