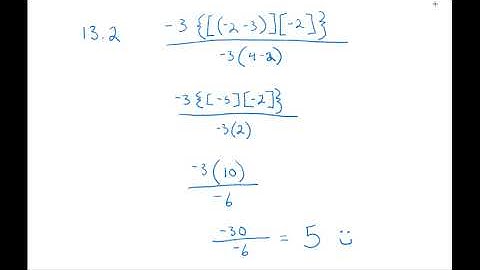
Saxon Math - Algebra 1: 3rd Edition (Lesson 13 - Symbols of Inclusion, Products of Signed Numbers)

Tonton & Download Video Musik Gratis

⬇ DOWNLOAD NOW
Kalau muncul iklan pop-up, tutup lalu klik tombol kembali

Download lagu Saxon Math - Algebra 1: 3rd Edition (Lesson 13 - Symbols of Inclusion, Products of Signed Numbers) secara gratis hanya untuk keperluan promosi. Dukung artis favorit kamu dengan membeli musik original di iTunes atau platform resmi lainnya.