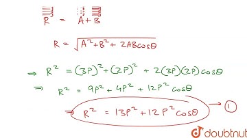
If resultant of two forces 3P and 2P is R if first force is doubled then resultant force also double

Tonton & Download Video Musik Gratis

⬇ DOWNLOAD NOW
Kalau muncul iklan pop-up, tutup lalu klik tombol kembali

Download lagu If resultant of two forces 3P and 2P is R if first force is doubled then resultant force also double secara gratis hanya untuk keperluan promosi. Dukung artis favorit kamu dengan membeli musik original di iTunes atau platform resmi lainnya.