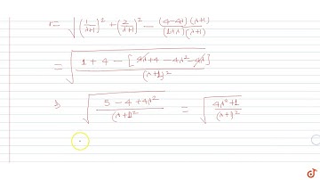
The locus of the centre of the circle passing through the intersection of the circles `x^2+y^2

Tonton & Download Video Musik Gratis

⬇ DOWNLOAD NOW
Kalau muncul iklan pop-up, tutup lalu klik tombol kembali

Download lagu The locus of the centre of the circle passing through the intersection of the circles `x^2+y^2 secara gratis hanya untuk keperluan promosi. Dukung artis favorit kamu dengan membeli musik original di iTunes atau platform resmi lainnya.