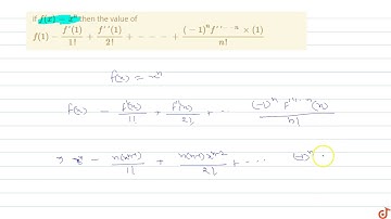
If f(x)=x^n, then the value of f(1)-f^'(1)/1 !+f^''(1)/2 !-f^'''(1)/3 !+f^''''(1)/4 ! -…+(-...

Tonton & Download Video Musik Gratis

⬇ DOWNLOAD NOW
Kalau muncul iklan pop-up, tutup lalu klik tombol kembali

Download lagu If f(x)=x^n, then the value of f(1)-f^'(1)/1 !+f^''(1)/2 !-f^'''(1)/3 !+f^''''(1)/4 ! -…+(-... secara gratis hanya untuk keperluan promosi. Dukung artis favorit kamu dengan membeli musik original di iTunes atau platform resmi lainnya.