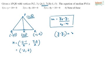
Coordinate Geometry | Additional Example 3 | Quantitative Aptitude | TalentSprint Aptitude Prep

Tonton & Download Video Musik Gratis

⬇ DOWNLOAD NOW
Kalau muncul iklan pop-up, tutup lalu klik tombol kembali

Download lagu Coordinate Geometry | Additional Example 3 | Quantitative Aptitude | TalentSprint Aptitude Prep secara gratis hanya untuk keperluan promosi. Dukung artis favorit kamu dengan membeli musik original di iTunes atau platform resmi lainnya.