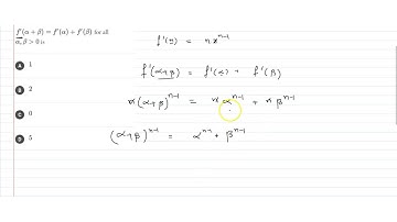
Let `f(x)=x^n` `n` being a non negative integer. The value of `n` for which the equality`f'(a+b...

Tonton & Download Video Musik Gratis

⬇ DOWNLOAD NOW
Kalau muncul iklan pop-up, tutup lalu klik tombol kembali

Download lagu Let `f(x)=x^n` `n` being a non negative integer. The value of `n` for which the equality`f'(a+b... secara gratis hanya untuk keperluan promosi. Dukung artis favorit kamu dengan membeli musik original di iTunes atau platform resmi lainnya.