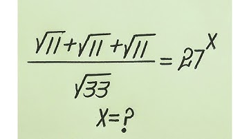
A tricky question from Harvard Entrance Exams | X=? #maths​​ #matholympiad​​ #exponentialequatio#mat

Tonton & Download Video Musik Gratis

⬇ DOWNLOAD NOW
Kalau muncul iklan pop-up, tutup lalu klik tombol kembali

Download lagu A tricky question from Harvard Entrance Exams | X=? #maths​​ #matholympiad​​ #exponentialequatio#mat secara gratis hanya untuk keperluan promosi. Dukung artis favorit kamu dengan membeli musik original di iTunes atau platform resmi lainnya.