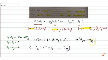
"If `a_1,a_2,a_3, ,a_n` are in A.P., where `a_i gt 0` for all `i`, show that`1/(sqrt(a_1)+sqrt(a_2

Tonton & Download Video Musik Gratis

⬇ DOWNLOAD NOW
Kalau muncul iklan pop-up, tutup lalu klik tombol kembali

Download lagu "If `a_1,a_2,a_3, ,a_n` are in A.P., where `a_i gt 0` for all `i`, show that`1/(sqrt(a_1)+sqrt(a_2 secara gratis hanya untuk keperluan promosi. Dukung artis favorit kamu dengan membeli musik original di iTunes atau platform resmi lainnya.