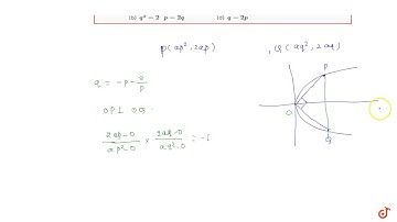
If normal at point P on parabola y^(2)=4ax,(agt0), meets it again at Q in such a way that OQ is ...

Tonton & Download Video Musik Gratis

⬇ DOWNLOAD NOW
Kalau muncul iklan pop-up, tutup lalu klik tombol kembali

Download lagu If normal at point P on parabola y^(2)=4ax,(agt0), meets it again at Q in such a way that OQ is ... secara gratis hanya untuk keperluan promosi. Dukung artis favorit kamu dengan membeli musik original di iTunes atau platform resmi lainnya.