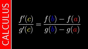
M3302 - Diff. Calculus in Banach spaces - S3.6 - More general versions of the mean value theorem

Tonton & Download Video Musik Gratis

⬇ DOWNLOAD NOW
Kalau muncul iklan pop-up, tutup lalu klik tombol kembali

Download lagu M3302 - Diff. Calculus in Banach spaces - S3.6 - More general versions of the mean value theorem secara gratis hanya untuk keperluan promosi. Dukung artis favorit kamu dengan membeli musik original di iTunes atau platform resmi lainnya.