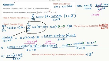
IB Paper One - Proof by Mathematical Induction (Fully Worked Solution)

Tonton & Download Video Musik Gratis

⬇ DOWNLOAD NOW
Kalau muncul iklan pop-up, tutup lalu klik tombol kembali

Download lagu IB Paper One - Proof by Mathematical Induction (Fully Worked Solution) secara gratis hanya untuk keperluan promosi. Dukung artis favorit kamu dengan membeli musik original di iTunes atau platform resmi lainnya.