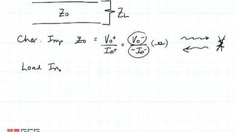
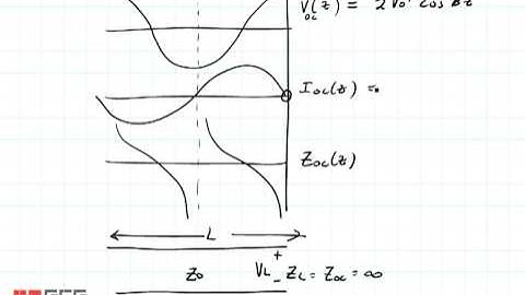
INPUT IMPEDANCE OF OPEN CIRCUIT (LECTURE-07 UNIT-05)NETWORK AND LINES

Tonton & Download Video Musik Gratis

⬇ DOWNLOAD NOW
Kalau muncul iklan pop-up, tutup lalu klik tombol kembali

Download lagu INPUT IMPEDANCE OF OPEN CIRCUIT (LECTURE-07 UNIT-05)NETWORK AND LINES secara gratis hanya untuk keperluan promosi. Dukung artis favorit kamu dengan membeli musik original di iTunes atau platform resmi lainnya.