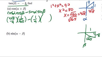
Trig Sum or Difference of Sine or Cosine Given Info about Alpha and Beta

Tonton & Download Video Musik Gratis

⬇ DOWNLOAD NOW
Kalau muncul iklan pop-up, tutup lalu klik tombol kembali

Download lagu Trig Sum or Difference of Sine or Cosine Given Info about Alpha and Beta secara gratis hanya untuk keperluan promosi. Dukung artis favorit kamu dengan membeli musik original di iTunes atau platform resmi lainnya.