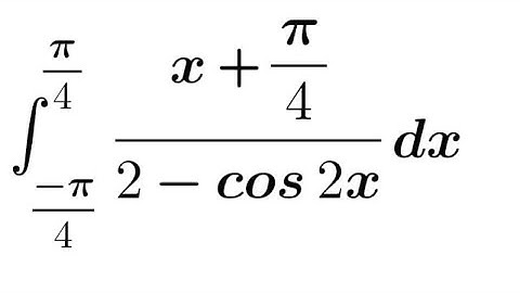
Calculus: Integration- Integral of (x+pi/4) / (2- Cos 2x)

Tonton & Download Video Musik Gratis

⬇ DOWNLOAD NOW
Kalau muncul iklan pop-up, tutup lalu klik tombol kembali

Download lagu Calculus: Integration- Integral of (x+pi/4) / (2- Cos 2x) secara gratis hanya untuk keperluan promosi. Dukung artis favorit kamu dengan membeli musik original di iTunes atau platform resmi lainnya.