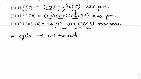
Group Theory | Permutation Group | Even & Odd Permutation | Order Of Permutation

Tonton & Download Video Musik Gratis

⬇ DOWNLOAD NOW
Kalau muncul iklan pop-up, tutup lalu klik tombol kembali

Download lagu Group Theory | Permutation Group | Even & Odd Permutation | Order Of Permutation secara gratis hanya untuk keperluan promosi. Dukung artis favorit kamu dengan membeli musik original di iTunes atau platform resmi lainnya.