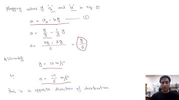
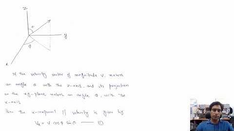
Lecture 12: Problem 5.18 of Analytical Mechanics (Fowles and Cassiday)

Tonton & Download Video Musik Gratis

⬇ DOWNLOAD NOW
Kalau muncul iklan pop-up, tutup lalu klik tombol kembali

Download lagu Lecture 12: Problem 5.18 of Analytical Mechanics (Fowles and Cassiday) secara gratis hanya untuk keperluan promosi. Dukung artis favorit kamu dengan membeli musik original di iTunes atau platform resmi lainnya.