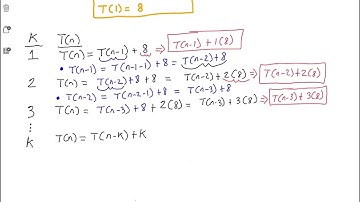
Solve the Recurrence T(n) = 9T(n/3) + n (Iteration Method)

Tonton & Download Video Musik Gratis

⬇ DOWNLOAD NOW
Kalau muncul iklan pop-up, tutup lalu klik tombol kembali

Download lagu Solve the Recurrence T(n) = 9T(n/3) + n (Iteration Method) secara gratis hanya untuk keperluan promosi. Dukung artis favorit kamu dengan membeli musik original di iTunes atau platform resmi lainnya.