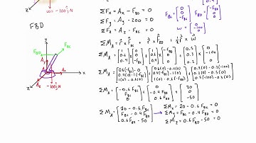
Statics: Problem 5-66: Example of a 3D Rigid Body Equilibrium with a ball and socket joint

Tonton & Download Video Musik Gratis

⬇ DOWNLOAD NOW
Kalau muncul iklan pop-up, tutup lalu klik tombol kembali

Download lagu Statics: Problem 5-66: Example of a 3D Rigid Body Equilibrium with a ball and socket joint secara gratis hanya untuk keperluan promosi. Dukung artis favorit kamu dengan membeli musik original di iTunes atau platform resmi lainnya.