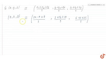
If the origin is the centroid of the triangle whose vertices are A (2,p,-3), B(q,-2,5) and C(-5,1,r)

Tonton & Download Video Musik Gratis

⬇ DOWNLOAD NOW
Kalau muncul iklan pop-up, tutup lalu klik tombol kembali

Download lagu If the origin is the centroid of the triangle whose vertices are A (2,p,-3), B(q,-2,5) and C(-5,1,r) secara gratis hanya untuk keperluan promosi. Dukung artis favorit kamu dengan membeli musik original di iTunes atau platform resmi lainnya.