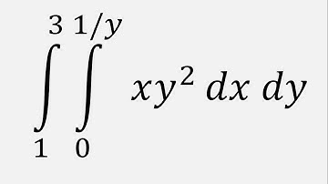
Double Integral of xy² over Region x=0 to 1 and y=1 to 3 - Step by Step Solution

Tonton & Download Video Musik Gratis

⬇ DOWNLOAD NOW
Kalau muncul iklan pop-up, tutup lalu klik tombol kembali

Download lagu Double Integral of xy² over Region x=0 to 1 and y=1 to 3 - Step by Step Solution secara gratis hanya untuk keperluan promosi. Dukung artis favorit kamu dengan membeli musik original di iTunes atau platform resmi lainnya.