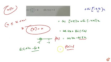
Consider the function f(x) = {x+2} [cos 2x] (where [.] denotes greatest integer function & {.} ...

Tonton & Download Video Musik Gratis

⬇ DOWNLOAD NOW
Kalau muncul iklan pop-up, tutup lalu klik tombol kembali

Download lagu Consider the function f(x) = {x+2} [cos 2x] (where [.] denotes greatest integer function & {.} ... secara gratis hanya untuk keperluan promosi. Dukung artis favorit kamu dengan membeli musik original di iTunes atau platform resmi lainnya.