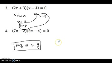
Lesson 9.4 (Part 3 of 4) - Solving Quadratic Equations by Factoring

Tonton & Download Video Musik Gratis

⬇ DOWNLOAD NOW
Kalau muncul iklan pop-up, tutup lalu klik tombol kembali

Download lagu Lesson 9.4 (Part 3 of 4) - Solving Quadratic Equations by Factoring secara gratis hanya untuk keperluan promosi. Dukung artis favorit kamu dengan membeli musik original di iTunes atau platform resmi lainnya.