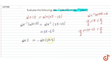
Class12 | Find the value of sin-1(sin5) |EX4.5-1(iii)

Tonton & Download Video Musik Gratis

⬇ DOWNLOAD NOW
Kalau muncul iklan pop-up, tutup lalu klik tombol kembali

Download lagu Class12 | Find the value of sin-1(sin5) |EX4.5-1(iii) secara gratis hanya untuk keperluan promosi. Dukung artis favorit kamu dengan membeli musik original di iTunes atau platform resmi lainnya.