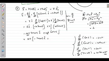
4.3 Physics - Circular Motion - Tangential unit vector and Radial unit vector

Tonton & Download Video Musik Gratis

⬇ DOWNLOAD NOW
Kalau muncul iklan pop-up, tutup lalu klik tombol kembali

Download lagu 4.3 Physics - Circular Motion - Tangential unit vector and Radial unit vector secara gratis hanya untuk keperluan promosi. Dukung artis favorit kamu dengan membeli musik original di iTunes atau platform resmi lainnya.