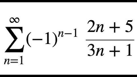
Determine if series is absolutely, conditionally convergent or divergent (cos n pi)/(n sqrt(n))

Tonton & Download Video Musik Gratis

⬇ DOWNLOAD NOW
Kalau muncul iklan pop-up, tutup lalu klik tombol kembali

Download lagu Determine if series is absolutely, conditionally convergent or divergent (cos n pi)/(n sqrt(n)) secara gratis hanya untuk keperluan promosi. Dukung artis favorit kamu dengan membeli musik original di iTunes atau platform resmi lainnya.