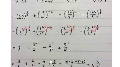
GRADE 11 MATHS ALGEBRA - SIMPLIFYING EXPRESSIONS WITH EXPONENTS AND SURDS (NOV 2016 P1)

Tonton & Download Video Musik Gratis

⬇ DOWNLOAD NOW
Kalau muncul iklan pop-up, tutup lalu klik tombol kembali

Download lagu GRADE 11 MATHS ALGEBRA - SIMPLIFYING EXPRESSIONS WITH EXPONENTS AND SURDS (NOV 2016 P1) secara gratis hanya untuk keperluan promosi. Dukung artis favorit kamu dengan membeli musik original di iTunes atau platform resmi lainnya.