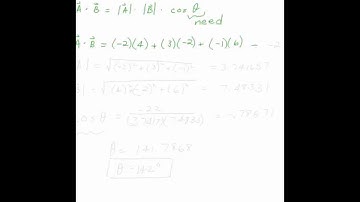
Finding Angle Between Two 3D Vectors . Dot Products. Calcuhubs App

Tonton & Download Video Musik Gratis

⬇ DOWNLOAD NOW
Kalau muncul iklan pop-up, tutup lalu klik tombol kembali

Download lagu Finding Angle Between Two 3D Vectors . Dot Products. Calcuhubs App secara gratis hanya untuk keperluan promosi. Dukung artis favorit kamu dengan membeli musik original di iTunes atau platform resmi lainnya.