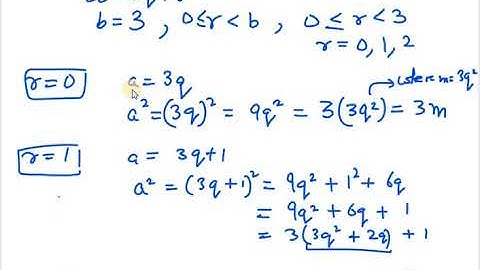
Lec 21 - Square Of Any Positive Integer Is Of The Form 3q Or 3q+1

Tonton & Download Video Musik Gratis

⬇ DOWNLOAD NOW
Kalau muncul iklan pop-up, tutup lalu klik tombol kembali

Download lagu Lec 21 - Square Of Any Positive Integer Is Of The Form 3q Or 3q+1 secara gratis hanya untuk keperluan promosi. Dukung artis favorit kamu dengan membeli musik original di iTunes atau platform resmi lainnya.