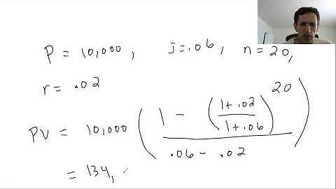
Basics of Annuities Part III - Arithmetically decreasing annuities and 2.2.21 example

Tonton & Download Video Musik Gratis

⬇ DOWNLOAD NOW
Kalau muncul iklan pop-up, tutup lalu klik tombol kembali

Download lagu Basics of Annuities Part III - Arithmetically decreasing annuities and 2.2.21 example secara gratis hanya untuk keperluan promosi. Dukung artis favorit kamu dengan membeli musik original di iTunes atau platform resmi lainnya.