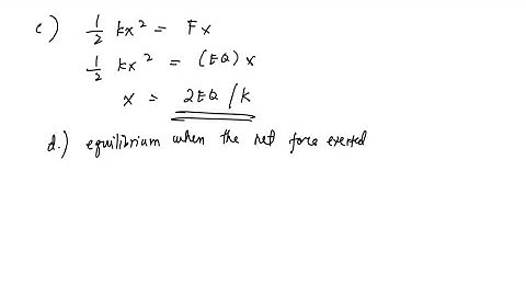
A block of mass m and with charge +Q is connected to a spring of spring constant k. The block is ...

Tonton & Download Video Musik Gratis

⬇ DOWNLOAD NOW
Kalau muncul iklan pop-up, tutup lalu klik tombol kembali

Download lagu A block of mass m and with charge +Q is connected to a spring of spring constant k. The block is ... secara gratis hanya untuk keperluan promosi. Dukung artis favorit kamu dengan membeli musik original di iTunes atau platform resmi lainnya.