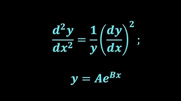
Differential Equations || Lec 61 || Ex: 4.9: Q1-8 || Nonlinear Differential Equations

Tonton & Download Video Musik Gratis

⬇ DOWNLOAD NOW
Kalau muncul iklan pop-up, tutup lalu klik tombol kembali

Download lagu Differential Equations || Lec 61 || Ex: 4.9: Q1-8 || Nonlinear Differential Equations secara gratis hanya untuk keperluan promosi. Dukung artis favorit kamu dengan membeli musik original di iTunes atau platform resmi lainnya.