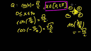
Concept of Solving Trigonometric Equations With Restrictions - EDEXCEL - GCSE - SAT

Tonton & Download Video Musik Gratis

⬇ DOWNLOAD NOW
Kalau muncul iklan pop-up, tutup lalu klik tombol kembali

Download lagu Concept of Solving Trigonometric Equations With Restrictions - EDEXCEL - GCSE - SAT secara gratis hanya untuk keperluan promosi. Dukung artis favorit kamu dengan membeli musik original di iTunes atau platform resmi lainnya.