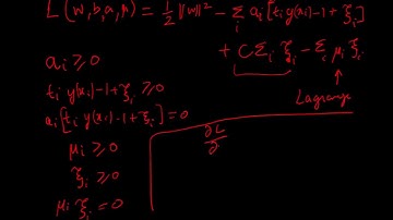
SVM Dual Form and Soft Margin Lagrange Optimization in Machine Learning Urdu/Hindi Dr. Arshad Afridi

Tonton & Download Video Musik Gratis

⬇ DOWNLOAD NOW
Kalau muncul iklan pop-up, tutup lalu klik tombol kembali

Download lagu SVM Dual Form and Soft Margin Lagrange Optimization in Machine Learning Urdu/Hindi Dr. Arshad Afridi secara gratis hanya untuk keperluan promosi. Dukung artis favorit kamu dengan membeli musik original di iTunes atau platform resmi lainnya.