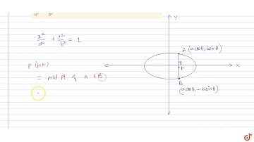
Find the locus of the mid point of focal chords of the ellipse x^2 a^2 +y^2 b^2

Tonton & Download Video Musik Gratis

⬇ DOWNLOAD NOW
Kalau muncul iklan pop-up, tutup lalu klik tombol kembali

Download lagu Find the locus of the mid point of focal chords of the ellipse x^2 a^2 +y^2 b^2 secara gratis hanya untuk keperluan promosi. Dukung artis favorit kamu dengan membeli musik original di iTunes atau platform resmi lainnya.