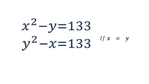
Germany | Can you solve this? | Math Olympiad Coordinate Problem (x,y)=?

Tonton & Download Video Musik Gratis

⬇ DOWNLOAD NOW
Kalau muncul iklan pop-up, tutup lalu klik tombol kembali

Download lagu Germany | Can you solve this? | Math Olympiad Coordinate Problem (x,y)=? secara gratis hanya untuk keperluan promosi. Dukung artis favorit kamu dengan membeli musik original di iTunes atau platform resmi lainnya.