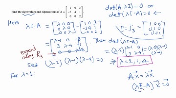
Linear Algebra: Ch 3 - Eigenvalues and Eigenvectors (15 of 35) Basis=? for a 3x3 Matrix: 1/3

Tonton & Download Video Musik Gratis

⬇ DOWNLOAD NOW
Kalau muncul iklan pop-up, tutup lalu klik tombol kembali

Download lagu Linear Algebra: Ch 3 - Eigenvalues and Eigenvectors (15 of 35) Basis=? for a 3x3 Matrix: 1/3 secara gratis hanya untuk keperluan promosi. Dukung artis favorit kamu dengan membeli musik original di iTunes atau platform resmi lainnya.