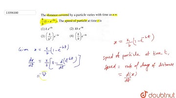
The displacement of the particle varies with time according to the relation x = kb[1 - e^(-bt)]. Th…

Tonton & Download Video Musik Gratis

⬇ DOWNLOAD NOW
Kalau muncul iklan pop-up, tutup lalu klik tombol kembali

Download lagu The displacement of the particle varies with time according to the relation x = kb[1 - e^(-bt)]. Th… secara gratis hanya untuk keperluan promosi. Dukung artis favorit kamu dengan membeli musik original di iTunes atau platform resmi lainnya.