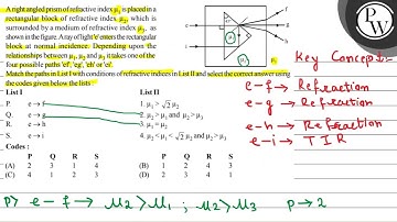
ACB is right-angled prism with other angles as `60^()` and `30^()` . Refractive index of the pri...

Tonton & Download Video Musik Gratis

⬇ DOWNLOAD NOW
Kalau muncul iklan pop-up, tutup lalu klik tombol kembali

Download lagu ACB is right-angled prism with other angles as `60^()` and `30^()` . Refractive index of the pri... secara gratis hanya untuk keperluan promosi. Dukung artis favorit kamu dengan membeli musik original di iTunes atau platform resmi lainnya.