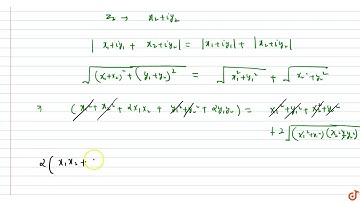
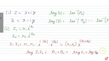
It is given that complex numbers z_1 and z_2 satisfy |z_1|=2 and |z_2|=3. If the included angle o...

Tonton & Download Video Musik Gratis

⬇ DOWNLOAD NOW
Kalau muncul iklan pop-up, tutup lalu klik tombol kembali

Download lagu It is given that complex numbers z_1 and z_2 satisfy |z_1|=2 and |z_2|=3. If the included angle o... secara gratis hanya untuk keperluan promosi. Dukung artis favorit kamu dengan membeli musik original di iTunes atau platform resmi lainnya.