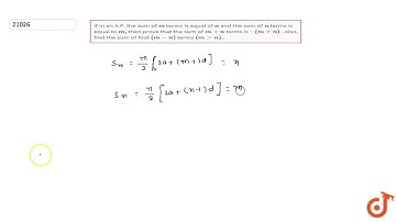
If in an A.P. the sum of m terms is equal to n and the sum of n terms is equal to m,then prove that

Tonton & Download Video Musik Gratis

⬇ DOWNLOAD NOW
Kalau muncul iklan pop-up, tutup lalu klik tombol kembali

Download lagu If in an A.P. the sum of m terms is equal to n and the sum of n terms is equal to m,then prove that secara gratis hanya untuk keperluan promosi. Dukung artis favorit kamu dengan membeli musik original di iTunes atau platform resmi lainnya.