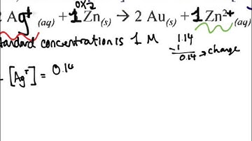
Calculating the Change in Free Energy for a Reaction Under Nonstandard Conditions-Practice Problem

Tonton & Download Video Musik Gratis

⬇ DOWNLOAD NOW
Kalau muncul iklan pop-up, tutup lalu klik tombol kembali

Download lagu Calculating the Change in Free Energy for a Reaction Under Nonstandard Conditions-Practice Problem secara gratis hanya untuk keperluan promosi. Dukung artis favorit kamu dengan membeli musik original di iTunes atau platform resmi lainnya.