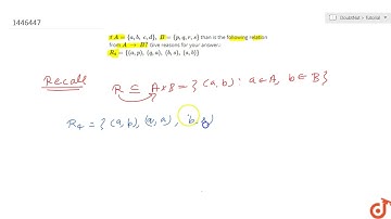
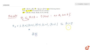
If `A={a , b ,\ c , d},\ B={p , q , r , s}` than is the following relation from `A\ to\ B ?` G

Tonton & Download Video Musik Gratis

⬇ DOWNLOAD NOW
Kalau muncul iklan pop-up, tutup lalu klik tombol kembali

Download lagu If `A={a , b ,\ c , d},\ B={p , q , r , s}` than is the following relation from `A\ to\ B ?` G secara gratis hanya untuk keperluan promosi. Dukung artis favorit kamu dengan membeli musik original di iTunes atau platform resmi lainnya.