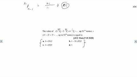
Binomial Theorem | The Value of (21C1 - 10C1) + (21C2 - 10C2) | JEE Main Advanced Video Solution

Tonton & Download Video Musik Gratis

⬇ DOWNLOAD NOW
Kalau muncul iklan pop-up, tutup lalu klik tombol kembali

Download lagu Binomial Theorem | The Value of (21C1 - 10C1) + (21C2 - 10C2) | JEE Main Advanced Video Solution secara gratis hanya untuk keperluan promosi. Dukung artis favorit kamu dengan membeli musik original di iTunes atau platform resmi lainnya.