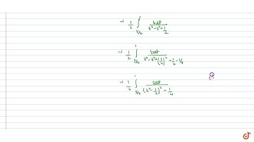
Evaluate : `int_0^(pi/2)(xsinxcosx)/(sin^4x+cos^4x)\ dx`

Tonton & Download Video Musik Gratis

⬇ DOWNLOAD NOW
Kalau muncul iklan pop-up, tutup lalu klik tombol kembali

Download lagu Evaluate : `int_0^(pi/2)(xsinxcosx)/(sin^4x+cos^4x)\ dx` secara gratis hanya untuk keperluan promosi. Dukung artis favorit kamu dengan membeli musik original di iTunes atau platform resmi lainnya.