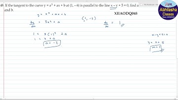
If the tangent to the curve `y=x^3+a x+b` at (1,6) is parallel to the line `x-y+5=0,` find a and b

Tonton & Download Video Musik Gratis

⬇ DOWNLOAD NOW
Kalau muncul iklan pop-up, tutup lalu klik tombol kembali

Download lagu If the tangent to the curve `y=x^3+a x+b` at (1,6) is parallel to the line `x-y+5=0,` find a and b secara gratis hanya untuk keperluan promosi. Dukung artis favorit kamu dengan membeli musik original di iTunes atau platform resmi lainnya.