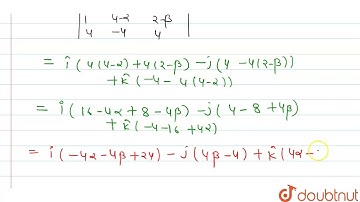
JEE MAINS 2018 Find the plane passing through `(4,-1,2)` and parallel to the lines `(x+2)/3=(y-2...

Tonton & Download Video Musik Gratis

⬇ DOWNLOAD NOW
Kalau muncul iklan pop-up, tutup lalu klik tombol kembali

Download lagu JEE MAINS 2018 Find the plane passing through `(4,-1,2)` and parallel to the lines `(x+2)/3=(y-2... secara gratis hanya untuk keperluan promosi. Dukung artis favorit kamu dengan membeli musik original di iTunes atau platform resmi lainnya.